Skip to main content Skip to page footer
HAZET – Das Werkzeug logo

Versione (tipo di prodotto)

Mostra tutti

Presa di forza

Mostra tutti

Attacco

Apertura chiave

Mostra tutti

Larghezza testa b

Mostra tutti

selezionato nessun prodotto selezionato


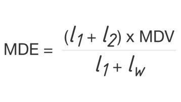
Lunghezze effettive per (altri) stampi ad inserto

MDE = Coppia da impostare
MDV = Coppia prescritta
lj = Lunghezza di regolazione standard con utensile di regolazione
l1 = Lunghezza effettiva della chiave dinamometrica
l2 = Passo dell'utensile di regolazione
lw = Dimensione del passo dell'utensile di inserimento

Formula: Fattore di correzione della coppia con variazione della lunghezza effettiva

Le Chiave dinamometriche HAZET sono regolate / calibrate con le "dimensioni di inserimento l2".

Se si utilizzano altri utensili di inserimento, la formula deve essere rispettata!


Dimensioni delle varie Chiave dinamometriche HAZET:

Numero di pericolo

l1 mm

Regolato con

l2 mm

5280-3 CT

172

6401-1(S)

19,5

5290-3 CT

245

6402-1(S)

30

5292-3 CT

422

6404-1(S)

38,5

Numero di pericolo

l1 mm

Regolato con

l2 mm

6280-1 CT

140

6401-1(S)

19,5

6281-2 CT

99

6401N

17,5

6282-1 CT

200

6401-1(S)

19,5

6290-1 CT

245

6402-1(S)

30

6291-1 CT

330

6404-1(S)

38,5

6291-2 CT

312.0

6402-1(S)

30

6292-1 CT

432.0

6404-1(S)

38,5

6293-1 CT

547.0

6404-1(S)

38,5

6294-1 CT

649.2

6406

44

6295-1 CT

893.2

6406

44

Numero di pericolo

l1 mm

6391-10 (V)

102

6391-12 (V)

102

6391-25 (V)

143

6391-35 (V)

143

6391- 50 (V)

201

6391- 85 (V)

276

6392-200 (V)

359

6392-320 (V)

589


Applicazione convenzionale

Testa a cricchetto reversibile 6602-1 ∙ 6604-1

Utensile per l'inserimento di anelli e cricchetti 6606D


Coppie di serraggio per viti secondo le classi di proprietà

... per filettature standard

Dimensione della filettaturaLarghezza ACUtensili di inserimento

Forza di precarico (kN)

Coppia di serraggio (Nm)

Classe di resistenza

Classe di resistenza

4.6

5.6

6.8

8.8

10.9

12.9

4.6

5.6

6.8

8.8

10.9

12.9

M 2 x 0,40

4

-

-

-

0,338

0,422

0,675

0,901

1,267

1,52

0,13

0,163

0,261

0,348

0,489

0,587

M 3 x 0,50

5,5

-

-

-

0,845

1,056

1,689

2,253

3,168

3,801

0,48

0,6

0,961

1,281

1,801

2,161

M 4 x 0,70

7

9x12

-

-

1,463

1,829

2,927

3,902

5,487

6,585

1,115

1,393

2,229

2,972

4,18

5,016

M 5 x 0,80

8

9x12

-

-

2,395

2,994

4,79

6,387

8,982

10,778

2,261

2,827

4,523

6,03

8,48

10,176

M 6 x 1,00

10

9x12

-

-

3,379

4,224

6,758

9,011

12,671

15,205

3,843

4,803

7,685

10,247

14,41

17,292

M 8 x 1,25

13

9x12

14x18

-

6,202

7,753

12,404

16,539

23,258

27,909

9,349

11,686

18,698

24,931

35,059

42,07

M 10 x 1,50

17

9x12

14x18

-

9,876

12,345

19,752

26,336

37,034

44,441

18,54

23,18

37,09

49,45

69,54

83,44

M 12 x 1,75

19

9x12

14x18

-

14,4

18

28,801

38,401

54,001

64,801

32,37

40,46

64,74

86,32

121,38

145,66

M 14 x 2,00

22

-

14x18

-

19,775

24,719

39,551

52,734

74,158

88,989

51,77

64,71

103,54

138,06

194,14

232,97

M 16 x 2,00

24

-

14x18

-

27,221

34,027

54,443

72,591

102,08

122,497

80,62

100,77

161,24

214,98

302,32

362,78

M 18 x 2,50

27

-

14x18

-

33,078

41,347

66,155

88,207

124,041

148,85

111,09

138,86

222,17

296,23

416,58

499,89

M 20 x 2,50

30

-

14x18

-

42,534

53,167

85,067

113,423

159,501

191,401

157,46

196,82

314,91

419,88

590,46

708,55

M 22 x 2,50

32

-

14x18

21/26

53,175

66,469

106,35

141,8

199,406

239,288

215,1

268,9

430,2

573,7

806,7

968

M 24 x 3,00

36

-

14x18

21/26

61,248

76,56

122,497

163,329

229,681

275,617

272,1

340,1

544,2

725,6

1020,3

1224,4

M 27 x 3.00

41

-

14x18

21/26

80,67

100,837

161,339

215,119

302,512

363,014

399,9

499,9

799,9

1066,5

1499,7

1799,7

M 30 x 3,50

46

-

-

21/26

98,027

122,533

196,054

261,405

367,6

441,12

541,7

677,2

1083,4

1444,6

2031,5

2437,7

M 33 x 3.50

50

-

-

-

122,241

152,801

244,482

325,976

458,404

550,084

738,5

923,2

1477,1

1969,4

2769,5

3323,4

M 36 x 4.00

55

-

-

-

143,413

179,266

286,826

382,434

537,798

645,358

948

1185

1896

2528

3555

4265,9

M 39 x 4.00

60

-

-

-

172,42

215,525

344,839

459,786

646,574

775,888

1229

1536

2457

3276

4607

5529

M 42 x 4,50

65

-

-

-

197,407

246,758

394,813

526,417

740,275

888,329

1519

1899

3038

4050

5696

6835

M 45 x 4,50

70

-

-

-

231,206

289,007

462,412

616,549

867,022

1040,426

1898

2373

3796

5062

7118

8541

M 48 x 5,00

75

-

-

-

280,008

325,01

520,015

693,354

975,029

1170,035

2282

2853

4565

6086

8559

10271

M 52 x 5,00

80

-

-

-

312,056

390,07

624,112

832,149

1170,209

1404,251

2954

3692

5907

7876

11076

13292

M 56 x 5,50

85

-

-

-

359,843

449,804

719,689

959,581

1349,411

1619,293

3672

4591

7345

9793

13772

16526

M 60 x 5,50

90

-

-

-

420,651

525,813

841,301

1121,735

1577,44

1892,928

4582

5728

9164

12219

17183

20619

M 64 x 6,00

95

-

-

-

475,86

594,825

951,72

1268,96

1784,476

2141,371

5536

6920

11071

14762

20759

24911

M 68 x 6,00

100

-

-

-

545,427

681,784

1090,855

1454,473

2045,353

2454,423

6720

8400

13440

17919

25199

30239

...per filettature fini

Dimensione del filo

Larghezza AC

Utensili di inserimento

Forza di precarico (kN)

Coppia di serraggio (Nm)

Classe di resistenza

Classe di resistenza

4.6

5.6

6.8

8.8

10.9

12.9

4.6

5.6

6.8

8.8

10.9

12.9

M 8 x 1,00

13

9x12

14x18

-

6,805

8,507

13,611

18,148

25,52

30,624

10,08

12,6

20,15

26,87

37,79

45,35

M 10 x 1,25

17

9x12

14x18

-

11,418

14,272

22,835

30,447

42,816

51,379

20,83

26,04

41,66

55,55

78,11

93,73

M 12 x 1,50

19

9x12

14x18

-

15,312

19,14

30,624

40,832

57,42

68,904

34,01

42,51

68,02

90,69

127,54

153,05

M 14 x 1,50

22

-

14x18

-

21,934

27,418

43,868

58,491

82,253

98,703

56,25

70,32

112,51

150,01

210,96

253,15

M 16 x 1,50

24

-

14x18

-

29,741

37,177

59,483

79,31

111,53

133,836

86,5

108,12

172,99

230,66

324,36

389,23

M 18 x 1,50

27

-

14x18

-

38,733

48,417

77,467

103,289

145,25

174,3

125,95

157,44

251,91

335,88

472,33

566,8

M 20 x 1,50

30

-

14x18

-

48,91

61,138

97,82

130,427

183,413

220,096

175,9

219,8

351,7

468,9

659,4

791,3

M 22 x 1,50

32

-

14x18

21/26

60,272

75,34

120,543

160,724

226,019

271,223

237,4

296,8

474,8

633,1

890,3

890,3

M 24 x 2.00

36

-

14x18

21/26

72,818

91,022

145,635

194,18

273,066

327,68

311,8

389,8

623,7

831,6

1169,4

1403,3

Le coppie di serraggio indicate sono valori indicativi
Tutti i dati non sono garantiti